Rare Bibles continue to captivate collectors and historians, fetching astonishing prices at global auctions. From the historic Codex Sassoon to a rare Chinese translation and Jackie Kennedy’s personal Bible, these sacred texts highlight the lasting significance of the Scriptures. While elite collectors pay millions, everyday seekers can find affordable copies at second-hand stores and online retailers. This article explores the fascinating stories behind these high-profile Bible auctions.
Codex Sassoon: The World’s Oldest Hebrew Bible Auctioned for $50M
The Codex Sassoon, believed to be the oldest nearly complete Hebrew Bible, made history when it sold for a staggering $50 million at Sotheby’s in May 2023. Dating back to around 900 AD, this ancient manuscript contains all 24 books of the Hebrew Bible, predating even the famed Aleppo and Leningrad Codices.
Previously owned by David Solomon Sassoon, a renowned collector of Hebrew texts, the Codex was eventually acquired by Swiss investor Jacqui Safra, who preserved it for decades. Its most recent purchase marks one of the highest auction prices for a historical document, surpassing the $43.2 million paid for a first-edition U.S. Constitution. Before the auction, the manuscript was displayed in major cities, allowing the public to witness a piece of religious history.
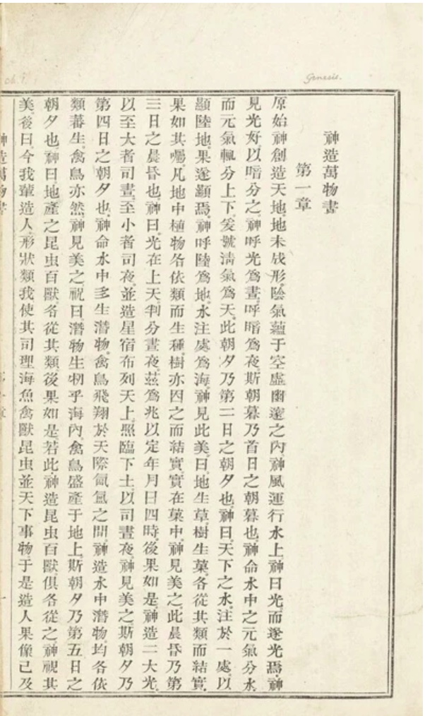
Rare Chinese Bible Found in Charity Shop Sells for $72K
A rare Chinese Bible, originally estimated at just $1,000, stunned auctioneers when it sold for over $72,000. This 1815 translation, the first complete Bible in Chinese, was created by Protestant missionaries John Lassar and Joshua Marshman. Discovered in a pile of donations at an Oxfam shop in Chelmsford, Essex, the book was identified by volunteers as historically significant and sent to Bonhams auction house.
The sale was part of a larger collection of rare books, which raised over $135,500 for Oxfam’s charitable initiatives. Other notable sales included a first edition of Charles Dickens’ A Christmas Carol and Karl Marx’s Communist Manifesto. This auction underscores the unexpected value of rare books hidden in plain sight.
Jackie Kennedy’s Bible Featuring Ecclesiastes 3 Fetches $50K
The Bible used by Jacqueline Kennedy Onassis following President John F. Kennedy’s assassination went up for auction, attracting significant attention. This New Catholic Edition Illustrated Bible was a gift from Richard Cardinal Cushing and contains Jackie Kennedy’s handwritten note: “Bible we used the night Jack died to choose Ecclesiastes to be read at his funeral. JBK 1963.”
Ecclesiastes 3:1-8, famously read at JFK’s funeral, reflects on life’s seasons and transitions, making this Bible an emotionally charged artifact. Heritage Auctions initially listed the Bible with bids reaching $36,000, but experts estimated it could surpass $50,000 by the auction’s end. Given the immense demand for Kennedy memorabilia—some items selling for over $400,000—this Bible remains a powerful symbol of American history and personal grief.
Takeaway: The Bible’s Eternal Value
The Enduring Value of the Bible: For Collectors and Seekers Alike
The record-breaking sales of these Bibles reflect their enduring significance for collectors, historians, and believers alike. While some editions command astronomical prices, anyone can own a Bible without breaking the bank. Used bookstores, thrift shops, and online retailers like Amazon offer affordable options for seekers and collectors. Whether for faith, history, or personal reflection, the Bible remains one of the most treasured books of all time.
For those who may not be able to acquire a rare or historically significant Bible, there are still countless ways to access the wisdom and beauty of the Scriptures. Many churches provide free Bibles to those in need, and digital versions are readily available online. The true value of the Bible lies not in its price but in its message. Whether it is a centuries-old manuscript sold at auction or a simple paperback edition found at a local bookstore, the Bible continues to inspire, educate, and transform lives across generations.

